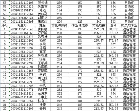
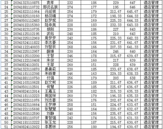
我校2020年面向中职毕业生对口招生考试的各阶段、各环节的工作已全部结束,根据《大赢家体育2020年面向中职毕业生对口招生章程》中的录取原则,我校学前教育专业预录取60人,录取最低分数线为575.6分;表演(泗州戏方向)专业预录取10人,录取最低分数线为605.33分;软件工程专业预录取60人(其中6人为预免试录取),录取最低分数线为660.8分;自动化专业预录取60人(其中2人为预免试录取),录取最低分数线为593分;酒店管理专业预录取110人,录取最低分数线为610.67分。
现对预录取考生名单进行公示,公示时间6月15日—6月19日,如有异议,请于6月19日17:00前以书面形式反馈到大赢家体育招生就业处(联系电话:0557-2875361,传真:0557-2875360),也可直接向大赢家体育纪委办公室(监察专员办公室)反馈(电话:0557-2875950)。预录取名单如下:











大赢家体育招生就业处
二〇二〇年六月十五日